以生物科技案例談參數設計的功用
- 撰文者:
- 2013/01/30 瀏覽數:5526
一、田口式參數設計的目的
以最迅速最經濟的設計方法使系統(技術、產品或製程)在不增加成本(甚至降低成本)的情況下,突破技術或設計或製程瓶頸。提供業界在開發設計或生產階段所具備以下3種能力:
- 先行性(技術準備):係產品企劃前之開發技術能力、領先競爭者開發技術能力。
- 泛用性(變換能力):係處理多樣顧客需求,及處理多種現有與未來產品的能力。
- 再現性(穩健性):係不受各種變異之影響,及具有穩定調整能力。
田口式參數設計應用於技術、產品、製程開發改善,能發揮立即有效的驚人成果,提供業界一個最快速的技術突破管道,進而提高技術競爭力。
二、應用於生物科技的功用
根據實驗之目的及從事實驗者之技術能力,可將田口式參數設計之應用,分為靜態參數設計與動態參數設計,靜態參數設計是用來進行產品(或生產製程)開發或改善,只針對一個目標來進行,然而動態參數設計則是針對多目標來一起進行開發或改善,此方式稱為技術開發或改善,以下就各以一個案例予以說明其進行程序及結果功效。
- 靜態參數設計
以生物科技公司進行樟菇培養條件之最適化研究,所使用之參數條件為B(菌株)、C(碳源)、D(氮源)、E(無機鹽)、F(增量劑)、G(Ph)、H(膠體),誤差因素為溫度。
- 靜態參數設計程序例(樟菇培養條件之最適化研究)(註1)
所此參數設計的步驟為, 量測項目選擇→測定數據選擇(確定適當之誤差因素)→適用SN比選擇→設計參數選擇→因子配置方法選擇(先應用L12直交表進行設計參數選擇,然後再進行L18之精緻實驗)→進行模擬實驗→數據解析→確認實驗。
- 靜態參數設計結果例(樟菇培養條件之最適化研究)
- 依望小特性公式(註2)計算確定最適SN比η: B6C1D2E2F1G2。
- 再現性實驗。
.jpg)
→增益10.40db
- 抗癌效果比較表
.jpg)
- 總結此實驗對樟菇研究之貢獻為:
- 縮短研發時程。
- 降低生產成本:原野生子實體長成需2年,現實驗室只要2月。
- 穩定生產品質。
- 原野生菌株數量少,現在可大量供應。
- 動態參數設計
以生物科技公司之專業技術進行改善。
- 動態參數設計程序例(豆芽菜的栽培條件之最適化)(註3)
此參數設計的步驟為:
- 理想機能定義:因發芽而吸收水份成長將種子的重量視為y0,成長後的重量為ys、時間為t,則可得到如下之公式:ys=y0×eβt。
- 量測項目選擇:入力(信號因素:時間t),出力(特性值為ln(ys / y0))。
- 測定數據選擇:信號因素為時間t,誤差因素為濕度。
- 適用SN比選擇:應用動態零點比例式予以計算。
- 設計參數選擇:
- 種子的差異。
- 室內溫度。
- 乙烯氣氣浴次數。
- 乙烯氣濃度。
- 灑水時期。
- 噴霧次數。
- 礦物質的添加。
- 因子配置方法選擇:將控制因素配置於L18直交表,以二元配置來配置信號因素與誤差因素。
- 進行模擬實驗:盡量以實驗片的方式進行實驗。
- 數據解析: 以各實驗之量測數據(ys / y0)倍率,取對數予以轉換後,應用動態零點比例式予以計算。
- 動態參數設計結果例(豆芽菜的栽培條件之最適化)
以選擇出來之最適條件及現狀條件,以同樣之信號因素(時間t)及誤差因素(濕度),進行確認實驗,計算SN比與靈敏度,確認改善效果(培育時間可減少1.31倍)之再現性佳。
此豆芽經量產後,成為高品位的豆芽,不但使生產廠商生產成本低,且也使賣場及顧客享受較長時間之新鮮不易腐爛之豆芽。
三、結論
田口式參數設計應用於生物科技,由以上兩件案例即可認知,它的應用,可使案例製作的企業,企業雖小,研發人員亦少,然因其高階主管的重視支持,放手讓研發人員徹底整合生產行銷人員,一起解決生產實際問題及市場顧客使用情境需求的問題,以田口式參數設計進行產品穩健性靜態參數設計或技術穩健性動態參數設計,使企業新產品量產成功(美國專利及量產問題少),使企業技術改善成功(生產時間顯著減少、不同產品開發效果高、顧客也滿意)。
田口式參數設計不但可應用生物科技,其實各行各業都可應用,實際應用的案例非常多,例如太空飛行技術、軟體技術、地震預測技術,以至於煮飯技術都可予以應用,以日本品質工程會所舉辦的案例發表及書籍雜誌的報導,每年各行各業之案例發表有上千件以上,希望此案例能拋磚引玉,鼓勵有心人多應用田口式參數設計,協助企業提昇技術及產品能力,然後再加強管理經營能力,如此雙管齊下,就能真正提升企業競爭力。
【註】
- 樟菇培養條件之最適化研究:出自科捷生物科技股份有限公司。
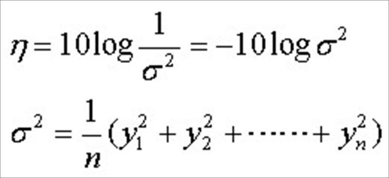
- 望小特性公式如下:
.jpg)
- 豆芽菜的栽培條件之最適化:出自日本三寶化學工業株式會社。
Excel VBA 新手進化班:從零開始到AI 助攻自動化實戰 - 請攜帶NB上課
上課時間 2026/09/09 ~ 2026/09/10
(TWI-JM)基層幹部工作改善技巧研習班
上課時間 2026/07/22 ~ 2026/07/22
營造業職業安全衛生業務主管在職教育訓練班(南科班) - 日間班 - 請上傳原始證書
上課時間 2026/08/27 ~ 2026/08/27
ISO14067:2018產品碳足跡主導查證人員訓練 - 請學員攜帶筆電(NB) - 需取得ISO14067:2018產品碳足跡主導查證
上課時間 2026/07/02 ~ 2026/07/03
縮短國際市場開發時間之銷售談判
上課時間 2026/10/21 ~ 2026/10/21
國際貿易流程及國外採購技能知識
上課時間 2026/11/09 ~ 2026/11/09
EXCEL入門速成養成班 - 李威慶老師
上課時間 2026/06/23 ~ 2026/06/30
企業永續發展(ESG)與供應鏈管理之整合 - 遠距教學 - 第一梯
上課時間 2026/05/15 ~ 2026/05/15
生產問題分析與改善技巧研習班
上課時間 2026/09/11 ~ 2026/09/11
AI智慧製造:類神經網路與機器學習實務 - 需自備筆電
上課時間 2026/10/15 ~ 2026/10/15