建立整合式設施報修案件管理系統-以彰化縣為例
- 撰文者:
- 2013/05/20 瀏覽數:6431
公共設施的維護管理是各基層機關維護居民生活品質的基本工作,損壞的公共設施除了造成居民生活上的不便外,嚴重時可能會危及民眾的生命安全,更甚者會涉及國賠,影響政府聲譽。
然公共設施的維護除了仰賴政府單位安排人員定期保養及巡檢外,更需要基層村里長與村里代表及公眾參與通報,然而對於政府單位來說不同的公共設施常分屬不同的部門所管理,民眾並無法清楚掌握,對於損壞地點及狀況的描述也可能不夠精確,常常造成通報後,久未修復造成民怨累積。
以彰化縣為例,目前縣政府方面為提升便民服務水準,除傳統透過公文、專線電話與臨櫃辦理外,亦擴大提供多項管道供民眾通報、申訴與陳情使用,服務管道包括首長信箱與網站電子表單等;各鄉鎮市公所方面亦提供包括客服電話、線上報修與民意信箱等服務。部分單位內針對通報案件也擁有辦理管制系統,列管所有通報案件辦理情形。
就現況而言,管道的確是更加暢通了,單位內的案件也列管辦理情形了,但是受限於地方自治制度,各單位仍自行辦理設施養護作業,因此即便是在公所行政轄區內的設施,管養權責也可能歸屬於縣政府,以致民眾向公所通報損壞後,該設施的維修就必須轉交由縣府辦理,然而目前單位間溝通大多經由公文往返,自然就增加了設施完修所需的時間。
有鑒於解決目前影響公共設施維修通報案件處理時效的關鍵因素,彰化縣政府於101年度辦理擴大公共設施報修服務系統整合工作,除以雲端系統概念,共構一套可提供各公所同時使用之公共設施通報管理系統外,另透過系統整合方式,將目前縣府使用於列管通報案件之服務台系統與公所共構使用之系統進行資料整合機制。
讓通報於縣府之案件資料於判定權責後可直接轉派公所辦理,或者公所收到歸屬縣府權責之案件可轉送至縣府相關處科執行。雙方均可掌握轉分案件後續辦理情形,以便回覆民眾知悉,並減少公文往返之時間,提升服務績效。
.jpg)
【圖1】 系統整合運作架構圖
其次,為提升民眾滿意度,規劃除現有提供通報管道外,亦擴充行動通報app服務,除點選操作填報外,亦結合電子地圖以增加設施報修便利性;另外,針對完修案件除電子郵件主動回覆外,也規劃結合行政院e管家數位儀表板服務,針對民眾通報公共設施損壞案件受理、辦理中與完修結案等狀況時可即時透過e管家服務回覆民眾,除讓民眾掌握辦理進度,並可感受政府對於人民反映事件的重視與積極態度。
.jpg)
【圖2】 行動通報app功能參考畫面
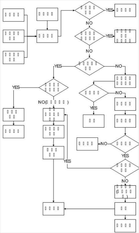
對於民眾通報設施報修案件管理部分,彙整彰化縣各區公所之設施報修處理業務流程,從通報受理->案件分派->案件權責判斷->派工維修->維修回報->審查結案等流程均透過資訊化系統進行管控,以加速案件處理流程,此外,承辦人員的外業勘查作業也可透過行動裝置進行現(會)勘紀錄,改良目前外業紙本紀錄,內業重新整理之困擾,提升資料彙整工作效率。
.jpg)
【圖3】 通報案件業務處理流程圖
透過系統管理案件辦理情形後,紀錄各案件流程辦理時間、單位、人員等紀錄,即可透過辦理期限進行逾期案件紀錄與稽催處理,讓業務管理人員可有效掌控各通報案件的辦理情形,若遇長官或民眾詢問時亦可輕易進行案件查詢調閱與辦理情形回應。
.jpg)
【圖4】 c
民眾通報案件處理紀錄可透過系統運用統計圖表方式呈現各單位執行績效統計圖表,供管理單位進行考核評估參考使用。
.jpg)
【圖5】 通報案件處理統計參考畫面
透過資訊化系統增加民眾設施報修管道以及列管通報案件辦理情形之管理模式,目前已廣為國內各政府機關採用,然而彰化縣政府透過跨系統整合方式向上介接中央機關研考會e管家系統,以及向下連結公所通報案件雲端式管理系統,確為目前國內少見之服務架構。
該計畫目前於101年度推廣包括彰化市公所、員林鎮公所、鹿港鎮公所、和美鎮公所、二林鎮公所與田尾鄉公所等單位進行試辦,後續將依據辦理成效擴大辦理,系統功能方面未來亦可規劃整合其他單位之便民服務系統進行資料交換減少公文往返,相信對於政府機關便民服務效率與水準可大幅提升,此外,亦可作為其他單位之資訊化服務典範。
數位轉型卓越經營服務團
以「因應數位轉型需求與融合企業經管理論」為基礎,發揮數位盤點、系統整合、顧客體驗、商模再造、資源引導、產學鏈結及卓越營運之核心能量,協助企業規劃由諮詢診斷(改觀念)、教育訓練(育人才)、顧問輔導(伴輔導)、建置導入(導系統)、平台租賃(建平台)等五個構面展開。主要服務範疇提供包括知識數位化、經管數位化、製造效能優化、服務體驗優化、商業模式轉型、產學資源介接等數位轉型服務。
猜你喜歡
在民眾要求不斷提升、設施數量持續增加與養護預算逐年降低之情形下,公部門路燈管養單位如何針對路燈設施進行有效管理,是一項重要待解決之課題。本文透過關鍵問題掌握分析並提供可行之解決方案,提供路燈管理單位評估參考。
彙整政府工務相關單位在推動公共工程管考資訊系統開發建置之前,常面臨之問題,透過分享相關解決方案,包括導入流程再造(BPR)建立工務行政資訊化標準作業程序、資訊運籌管理(CALS)串接單位內相關管理系統資料、公共工程資料交換標準(G2G/G2B)解決跨單位工程資訊整合問題以及決策支援(DSS)提供即時資訊查詢與多元報表輸出等概念,提供單位導入系統之評估與規劃參考。
各級政府道路管理單位例行需管理及養護之道路長度與面積逐年擴大,但是可用經費與人力卻無法等比例成長,因此道路管理單位應可透過資訊化工具建立新思維新模式進行道路管理作業,以便於有限資源下發揮道路管理最大效益。本文針對相關道路管理資訊化系統建置經驗,分享規劃道路管理資訊化系統架構應注意事項與功能簡介,以期協助道路管理單位透過資訊化方法提升道路管理業務之行政效率。
在道路上施工的工程,常造成交通受阻,產生用路人抱怨。針對傳統的管理方式,僅掌握預計施工的時間,然而施工單位是否準時進場、如期離場,這都是傳統管理方式的盲點,也因而影響了交通資訊發佈與管制作為是否妥當的疑慮。故善用APP即時溝通的優點,建立施工通報資訊管理機制,可改善傳統管控方式,掌控更精準的施工動態資訊,以發揮交通控制的管制成效。
本中心協助公路總局開發之「公路養護巡查系統」結合GPS工具所建構的MPS(Mobile Position Services)管理服務模式,主要分為以下兩個層面:透過行動裝置的通訊,提供所在位置的GPS座標資訊;取得座標資訊後,由結合GIS之管理系統提供適地性資訊。MSP服務模式,不僅可應用公路總局的各工務段公路巡查人員,進行作業妥善完成率的管理外,亦可應用各項工廠作業、警衛作業、車隊管理、物流管理等領域。
敏捷轉型的生產流程優化與工廠效能提升技巧
上課時間 2026/05/13 ~ 2026/05/13
保固數據之產品可靠度分析與失效預測 - 請學員攜帶筆電(NB)
上課時間 2026/10/29 ~ 2026/10/29
韌性領袖-點燃你的內在領導力 - 第二梯
上課時間 2026/07/15 ~ 2026/07/15
出納作業、資金流量分析及有效調度實務班 - LINE@ID:@274aywrg - 許文西老師
上課時間 2026/05/05 ~ 2026/05/05
訂單、產能與排程運作實務 - 第二梯
上課時間 2026/06/11 ~ 2026/06/11
跨界思維力 × 領導教練術:打破部門牆,創造跨域績效 - LINE@ID:@274aywrg - 夏承樟老師
上課時間 2026/11/20 ~ 2026/11/20
TWI基層幹部管理能力發展培訓班 - 第110期
上課時間 2026/06/11 ~ 2026/06/25
職場管理與溝通協調技巧 - <協調力>
上課時間 2026/07/09 ~ 2026/07/09
PLC控制器入門實作班(數據與結構化設計)
上課時間 2026/09/30 ~ 2026/10/14
打造高效率工作AI術 - 遠距教學
上課時間 2026/08/27 ~ 2026/08/28