機械產業累積公差分析與解決方案
- 撰文者:
- 2018/03/22 瀏覽數:35986
歐美高科技國家於250年前就發生組配不順利,十九世紀中葉,美國最先發明出公差概念並大幅改善組裝效率,到二十世紀初美國早已頒佈國家級規範(具理論基礎、工程實務經驗與公信力),並運用於軍品商品生產,成就第一、二、三次工業革命,自動化生產、大量產製與降低成本,提升生活品質,造福人類。吾人急需迎頭趕上,瞭解其原理加以活用,必有生存發展空間。
一.累積公差分析
零件經由製作設備加工機具要求每件形狀尺寸均達一樣,嚴格來看,每件尺寸皆一樣,難度極高,不僅費時亦無必要,因可能須採用更高級精準度之機具,設備費更高,且必需經過篩選才有可能得到,因製作加工過程必產生些微誤差,故如何給予合理誤差範圍是一個嚴肅課題。宛如軸承之鋼珠製作,大量生產後,最嚴格篩選尺寸與形狀類為航空級用,數量雖極少但價格極昂貴,次級品為汽機車用,最後為自行車用,因應功能需求(運轉速度)不一樣。
累積公差(Tolerance Stack-up)產生之因素有(1)加工工具使用一付夾具於表面之施力變異,在同一台工具機裝置夾具之變異,加工刀具之磨耗等因素。(2)材料、材質不均勻、內應力釋放及表面尺寸之變異等因素。(3)工作人為組裝不當及工序操作不當之因素。(4)設備、機構運行之重複性、剛度及運轉參數變異(進給、轉速等)。(5)環境溫溼度對機具與零件尺寸影響之變異,尤其檢測室要求精密受測件須於4小時前置入檢測室之規定,期盼零件與檢測儀具同溫,消除溫度影響因素。對策為減少裝置之數量、嚴謹之製程管制、環境條件控制、改善材料品質及操作訓練。
產品組立裝配線上如遇到零件或組件無法順利進行組配,立即影響後續功能測試與交貨時程,問題馬上直達專案主管並立案管考,產線負責主管及核心幹部立刻繃緊神經全力面對,找問題並加以克服,力保恢復產線正常,事後做詳細檢討報告避免下次重複出現。
長時間觀察統計分析,大多歸結於製作設計圖面標註欠缺周延與不合理,最常出現之原因為下列因素:(1)零件欠互換性設計思考。(2)欠缺基準標註或不明確。(3)累積公差各自解讀,紛爭不斷。(4)忽視未註公差真正值或誤解。(5)傳統尺寸公差標註之缺陷。(6)不知零件幾何形狀誤差。(7)表面粗度因素。(8)表面處理厚度。(9)忽視合理組裝間隙因子。(10)浪費主管與組織專案MRB(Material Review Board)資源。
因製作部門一定需按照圖面尺寸製作,且精度並需落於公差範圍內才會卸下機具,檢驗部門必須按照圖面尺寸及公差檢測才可驗收放行入庫,這兩部門工作內容無從影響後續組配順利與否,甚至於每件皆經功能量規檢驗,到產線仍發生組配不順之事,演變成部門間信心問題,連同其他問題,新仇舊恨糾葛在一齊,問題更複雜化。高階主管與專案主管陷入迅速召集設計、組配產線等相關幹部舉行特別裁示會議或開MRB會議,共商解決之道,最終裁示拒收或合用(非合格),然次數一多,高階主管均心驚膽跳,寢食難安,祈禱品質無缺點。
(1)尺寸公差之侷限
近百年來傳統習用尺寸(公差)無法控制形體之形狀、偏轉、方位或位置。游標卡尺及分釐卡只接觸到特定截面之最大兩點(或三點),很難確認出是否為真圓與真直,及其他諸如彎曲、蜂腰、中廣、錐形、偏斜、波浪型、傾斜、扭曲等形狀。
(2)基準不明確
同樣零件不同標註,其累積公差各不相同。如圖1為各段之標註尺寸,則XY距離累積最大公差值為26±0.15。
.jpg)
圖1.尺寸鏈標註法(ASME Y14.5M 1994/2009)
下圖2各段皆以同一端面作基準線(面)標註尺寸,則XY=26±0.10,比尺寸鏈標註法小些。
.jpg)
圖2.基準線標註法(ASME Y14.5M 1994/2009)
如採直接標註尺寸,則沒產生累積公差問題,XY=26±0.05,亦即公差最小(圖3),但對零件整體位置而言,仍產生±0.05之偏移不確定之問題,顧此失彼,尤其組配合件時,可能造成干涉或間隙過大之現象,隱藏後續之問題無窮而不知,因零件檢查尺寸符合圖面標註合格而被忽略與界面之關係,非有經驗之工程師無法看出問題所在。
.jpg)
圖3.直接標註法(ASME Y14.5M 1994/2009)
(3)正負座標不合理之缺陷
國內機製業習用之傳統直角坐標之尺寸標註如圖4。
.jpg)
圖4. 傳統直角坐標
近70年為彌補尺寸公差不合理之缺陷而發展之幾何公差標註如圖5。於尺寸公差下面加一長方框,第一格為幾何公差型態,本文選位置公差(正位度),第二格為幾何公差範圍,後面加一修飾符號M,意為最大材料條件(Maximum material condition)。
.jpg)
圖5. 幾何公差標註
優劣比較:傳統直角坐標之尺寸標註其孔心合格區域僅拘限於0.05之正方形區塊而已,孔心合格區(圖6),明顯不合理,因點1及點2相對於理想中心均為等距,而點1為合格,點2則不合格(圖7),如以對角線為直徑之圓形區塊才合理,同時也合理擴增57.1%之區塊面積,可大降製作工具模具成本。
.jpg)
圖6.孔心合格區比較
如再用最大材料情況M修飾,可第二度擴增合格區至ψ0.13,或稱為紅利公差(Bonus tolerance)。
.jpg)
圖7. 最大材料情況
位置度原則應用時,其公差大小由設計師需要而定,非由座標轉換而成,此公差係由外形(孔及配合件)之最大材料尺寸來決定。如上圖中,位置度公差ψ0.07㎜為以孔於最大材料尺寸(最小孔徑ψ3.97㎜)為準。當孔之尺寸偏離最大材料尺寸時,孔之位置度公差允許超過原來之公差帶,於偏轉範圍內偏轉其位置。如ψ0.13㎜增額公差(Bonus tolerance)為孔加工到最高極限尺寸ψ4.03㎜時容許之位置度公差。換言之,幾何形狀誤差可隨加工孔徑變異而變,變異量為孔徑尺寸增加量。
(4)累積誤差效應
零件因設計圖面不夠完整,造成設計、製作加工、檢測與客戶之間之見解分歧,產生之爭議不斷,嚴重影響生產、組裝效率、功能測試與上市時機,直接影響獲利。產品主管虛耗寶貴時間去組織專案找出再現性問題,同樣耗損人力、物力、時間,增加成本負擔。三星Note 7品質缺陷自燃意外,事後做25萬件次之再現性分析,才確認事故原因,可想像過程中相關主管與工程師背負之壓力與煎熬,還好有找到原因才能對症下藥改進,但所損失之商譽極為龐大。品質是品牌的生命。
二.累積公差解決方案
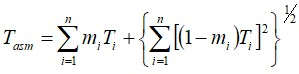
(1)最差狀況模式
,T為公差值直接累加,最差情況為將各零件(各段)之最長尺寸累加,最短尺寸累加,可取得組合件(全段)之長度尺寸範圍,但結果為變異數(公差)過長之虞,零件間隙過大,雖可保證後續組裝或維修具互換性,但組合件餘隙過大,會影響功能規格測試要求,運轉件太鬆如同撞擊,產生震動、噪音及加速磨耗,同時伴隨溫度驟升,嚴重傷害產品壽期,品質不良之設計。
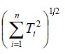
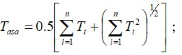
(2)統計模式
,將各零件公差值自乘,再累加後開平方根,可得絕大多數(99.73%)零件為合格,易製、易驗、易組、易維修,工業界快速實用。
實務上尺寸精度於生產及檢驗過程中會產生偶發性、間斷性、顯著性之變異(機具不同、材質不同、操作者不同、時間不同),而製作加工操作時,均以中間值為目標,如稍有誤差屬難以避免之正常現象,亦希望能落在公差值內。例如設計圖標註雙向公差ψ30±0.1 mm,製作現場潛規則均以ψ30 mm為加工目標,因工具機出廠就隱含本身精度誤差,後續使用產生機件磨耗誤差,加上操作人情緒技術誤差,均屬不可避免現象,綜合交錯所產生之總誤差期盼落在公差範圍內就合格。如故意偏好加工在尺寸上限或下限(特例為車製螺牙情況,以提高防蝕處理膜厚因素之公母配合),則不合格率比前述驟升一倍。同理;亦適用於單向公差標註,如標註
mm,則加工目標就以中值ψ29.85 mm為目標。如設計圖標註
mm,則加工目標就以中值ψ30.15 mm為目標。換言之,加工在最長與最短兩極端之零件數量其機率很低,故依統計原理計算較合理。
其他尚有Spott’s modified model
Modified statistical model,mi:第i件之平均值在整個範圍移動之比率; Mean shift model,
,Tasm=Xmax-Xmin;Xmax=M+3D;Xmin=M-3D;M=Σmi;D=(Σσi2)1/2; Moment model; Hybrid model與Monte Carlo model等模式,較偏於理論研究領域,惟仍以統計模型為基礎,不適用於產業簡單、快速、實用需求性。
下圖為統計情況則視各零件(各段)隨機變異製作,首先將各零件長度變異換成6σ模式,次將組合件(全段)之各零件變異值平方和再開方根,可得組合件之尺寸範圍,工程實務上較符合功能需求。茲以下面零件有三階段尺寸為例,則總尺寸範圍如何決定比較合理。
.jpg)
圖8. 3階段零件尺寸鏈標註
假設
則其總長.jpg)
解:
(1)最差法:最長為2.5+3.2+2.6=8.3,最短為 2.4+3.0+2.5=7.9,則總長度為
,公差為0.4。
(2)統計法:如賦予每階段之公差皆為6σ(變異值),則其總長度之變異值為
,尺寸鏈之第一段 6σ1=2.5-2.4=0.1 ,σ1=0.0167 ;同理第二段 6σ2=3.2-3.0=0.2 ,σ2=0.0333 ;第三段為 6σ3=2.6-2.5=0.1,σ3=0.0167 ,則總長度之變異值為
,
,
,總公差為0.248 明顯比0.4小。
另解:依Pythagorean rule t2=a2+b2+c2+…..,a 、b 、c…,各件用平均偏差。AB段長度之變異(公差值)為2.5-2.4=0.1=6σ1 ,平均分配給最長與最短,
得σ1=0.0167 ,換言之;LAB =2.45±3σ=2.45±0.05,加工合格率為99.73%。而BC段長度之變異為3.2-3.0=0.2=6σ2 ,可得σ2=0.0333 ,或改為LBC =3.1±0.1。同理; CD段長度之變異為σ3=0.0167 , 或改為LCD =2.55±0.05,
則依統計原理,其總變異公差為,
,
,得σtotal =0.0412,則AD段長度之變異(公差值)為(8.3+7.9)/2 = 8.1±3σtotal=8.1±0.124,或
。而統計公差0.248,明顯比0.4小。
例.由4項零件組成之產品,各零件尺寸與公差如下圖,求組合後之尺寸與公差?
.jpg)
圖9. 4零件組成之產品示意圖
解:組合尺寸平均值:
,
組合最大尺寸:
……(1),
組合最小尺寸:
……(2),
組合偏差(1)-(2):t=a+b+c+d………(3),與實務不符有落差,
假設a=b=c=d=0.02 mm,t=0.08 mm,
如依統計法,t=【4a2】1/2=【4(0.02)2】1/2=0.04 mm,
如依統計99.73%合格,σ1=0.02/3 mm,σt2=4σ12,σt=2σ1=0.04/3 mm,t=3σt=0.04 mm。
反過來,如組合偏差t=0.04 mm,依累加法t=a+b+c+d均分,則a=b=c=d=0.01 mm,
如依統計法,t=【4a2】1/2,a=b=c=d=t/2=0.02 mm,製作公差比直接累加法多 一倍,易製,費用降低,省時,彰顯統計概念之優勢。
例.由5支桿組成軸,首尾各長20.02 mm,中間3支長各為50.50 mm,每支之標準差均為0.01 mm,採隨機法組立,依統計原理,求軸長平均值?標準差?軸長自然公差?軸長自然偏差?
解:軸長平均值:20.02×2+50.50×3=191.54 mm,
標準差:σt=(5×0.01)1/2=0.022 mm,
軸長自然公差:6σt=0.132 mm,
軸長自然偏差:±σt=±0.066 mm。
得軸長191.54±0.066 mm。
例.依高度正確之製作之3項零件,各個尺寸統計均呈常態分佈,隨機各自3項零件各取一件線性組立,期望全長變化不超過±3σt=±4 mm,依累加法思維及統計原理求各項零件之製作偏差?
解:(1)依累加法思維:組合偏差±3σt=±4 mm,各項零件之製作偏差:±σt=±1.333 mm。
(2)統計原理:σt2=σ12+σ22+σ32=3σ12,
ifσ1=σ2=σ3,則σ1=σt/(31/2)=0.769 mm,
各項零件之製作偏差:±3σ1=±3(0.769)=±2.309 mm>±1.333 mm,製作易,降成本。
由多項零件組立之機件,其組合尺寸之偏差設計,影響各零件之製作精度程度,考量因素:
1.組合尺寸功能需求。
2.各零件生產設備之製作精度。
3.其他相關設備之配合能力。
宜兼顧上述3項平衡且符合目前生產之經濟原理,組合尺寸之偏差是否可由3σ放大至4σ。
(3)基準與基準尺寸
基準尺寸(Basic dimension BSC):表示形體精確大小、形狀與位置之理論值,做為對外尺寸或註解尺寸建立公差。如
。
.jpg)
圖10. 基準與基準尺寸
指定某形態之位置度公差或輪廓度公差或傾斜度公差時,用於標註理論上正確之位置、輪廓或角度之尺度(尺寸),是不加註公差,而是以尺度外加方框表示,該工件之相對應實際尺度僅受限於公差框內所標註之位置度公差或輪廓度公差或傾斜度公差,更非以未註公差比對或僅作參考。優點為:(1)彌補+/-公差之缺陷及不合理之處。(2)消除累積公差之困擾。(3)合理增大製作公差達57%以上。(4)配合MMC/LMC可再額外增大製作公差(Bonus tolerance/Zero tolerance),大幅降低模具工具製作成本。(5)量產件之檢具設計簡單快速,提升研製效率與良率。
尺寸鏈標註其組合公差如採6σ之統計法,可獲得較佳之公差值,比較允中。其他如採基線(Base line共同起點或面)標註,可得比尺寸鏈標註較少之累積公差。當然如採直接標註,其公差更比前述兩種更小,但與配合件組合時將產生偏移問題,最佳法則建議引用幾何公差(Geometric tolerance)之基準(Datum)與基準尺寸(Basic dimension BSC)標註,徹底消除累積誤差變異。
(4) 間隙預估
影響組合公差因子:
(1)接觸界面粗度問題、端面形狀不平行、偏斜、瑕疵、防蝕鍍層膜厚度等。
(2)組裝線上人因工程簡易、快速考量。
(3)市售機械設計CAD軟體組立圖有盲點,將零件圖組合時採用界面與界面重疊,但工程實務上必有間隙產生,因此從CAD直接點選組合件之總長度必定比較實際組合件短一些。除非檢測室量具歸零時用塊規從切面方向組合才無間隙。
(4)組件間隙預估,因各產品要求精度不一樣,各產品需自行累積實務經驗。
(5)組合件除長度計算時需加入間隙質外,尚需考量組合件之形狀,可能不是理想中之真直,可能有些微彎曲、偏斜、扭曲、蜂腰、中廣等現象,所以才有幾何公差規範彌補這些缺陷,從零件管制起,尤其大量生產件更需俱全互換要求。
建議
歐美高科技國家已使用超過半世紀,並頒佈規範(ISO 1101,ASME Y14.5,內容一致)供產業使用。JIS規範緊追ISO,只晚1~3年(專門機構引進,並編輯日文版供業界使用,並出英文版顯示與國際同步),充分與國際規範接軌,製作產品具相同功能甚至超越歐美規格,價格又比較低廉,產品才能打進歐美市場。國內機械產業(工具機、切削加工業、沖壓板金業、射出塑膠業、模造橡膠業、粉末冶金業等)迎頭趕上,認識、學習、消化、吸收、活用,急起直追,縮短技術落差,早日與老外產品拚搏於國際市場,取代日、韓搶占商機,增加外匯與獲利,創造工作機會。
備註
1.Statistical tolerancing is the assigning of tolerances to related components of an assembly on the basis of sound statistics(such as the assembly tolerances is equal to the square root of the sum of the squares of the individual tolerances). ASME Y14.5M (2.16) p.38 1994/p. 36~37 2009 。
2.60o螺牙面防蝕鍍層如為一個單位厚度,則牙尖及牙谷增為兩個厚度,公母螺牙組配時產生4個單位之厚度,造成干涉,很難鎖到定位之最大原因。加工部門不可只要於完工後有組配到定位就交差,必需於防蝕工序完成後再次組配才是真正完工送驗交貨。
高空工作車操作人員-移工班 - 平日日間班 - 越南、泰國、印尼、菲律賓(以英文)擇一 - 15人即開課
上課時間 2026/04/20 ~ 2026/04/24
Excel BI商業智慧 – 資料關聯與數據分析進階班(Power Pivot與DAX函數) - 請攜帶NB上課
上課時間 2026/09/18 ~ 2026/09/18
急救人員安全衛生教育訓練 - (0929-1001)日間班 - 第三天為半天課程
上課時間 2026/09/29 ~ 2026/10/01
IFRS永續揭露準則S1,S2解析 - 遠距教學 - 第一梯
上課時間 2026/04/13 ~ 2026/04/13
AutoCAD 2D基礎班 - AutoCAD 2024版
上課時間 2026/09/21 ~ 2026/10/23
六小時學會碳盤查技巧研習班
上課時間 2026/06/24 ~ 2026/06/24
CP管制計畫與PPAP零件核准程序 - 新版IATF 16949 六大核心工具系列課程
上課時間 2026/09/18 ~ 2026/09/18
DC3自我管理與敬業精神 - 【關鍵就業力】
上課時間 2026/06/15 ~ 2026/06/15
AI X程式- AI 自動化應用 - 請攜帶電腦 - 即將達開課人數
上課時間 2026/04/28 ~ 2026/04/28
全方位基礎人資管理師認證班
上課時間 2026/05/05 ~ 2026/06/02