利潤中心制度介紹與推行
- 撰文者:
- 2018/05/10 瀏覽數:35728
一、何謂利潤中心?
將整個公司的經營細分為數個經營單位,賦予各個單位經營者自負盈虧及經營成敗責任,並實施利益分享的一種制度。在責任中心制度下,又分為下列四類:
1.成本中心(cost centers)
2.收入中心(Revenue Centers)
3.利潤中心(profit centers)
4.投資中心(Investment enters)
二、利潤中心之形成與類型

三、為何要實施利潤中心
企業組織愈來愈龐大,負責人無法全面掌控業務,權力有賴下放給事業單位自主,而利潤中心的組織是將生產與行銷劃歸同一部門,縮短作業流程,讓管理策略富有彈性,適時搶進商機,日後事業部規模逐漸擴大後,可進一步切割上市,創造企業價值,進而佈局全球。
四、推行失敗的原因
台灣許多企業都有實施利潤中心制度,但成效普遍不彰,究其原因有:
1.財會部門一手主導
查財會部門每月所編製的事業部損益表,是由一張全公司損益表分割為BY產品別損益表,呈現一種分合的數據,無法做決策;利潤中心是管理會計的一環,管理須循PàDàCàA的流程展開,並與會計結合,也就是要具備懂會計也要懂管理的「管理會計師」,才能勝任,有效執行。
2.事業部主管未獲充分授權,一般來說,可控制的項目至少應佔70%以上。
3.企業內部未落實預算及標準成本作業制度。
4.事業部主管只顧自身利益,忽略公司整體利益。
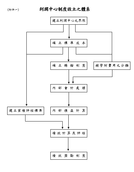
五、如何正確建置利潤中心架構(詳附件一)
六、利潤中心施行的步驟(詳第七至~十六章)
七、成立績效分析部門,建立與評核利潤中心制度
績效分析部門的職掌,主要是協助各事業部建立利潤中心制度,並訓練事業部經理解讀與分析利潤中心報表的能力
八、如何決定利潤中心組織系統
利潤中心組織分為「地區別」與「產品別」兩種((詳附件二):
1.地區別聯邦式分權制
大型企業或多國企業機構,為便利當地的作業,並提供最有效的產品與服務,往往依地區別劃分事業部,各地區自成一個獨立自治單位,產銷權 責亦依地區歸屬。
2.產品別聯邦式分權制
一般而言,企業所在地轄區較大且產品種類較少,選擇「地區別」較為適合;若企業所在地轄區較小且產品種類較多,選擇「產品別」較為適合,因台灣面積狹小,故絕大部份廠商都是選擇「產品別」,作為利潤中心的組織。
九、事業部經理通才養成訓練
利潤中心屬管理會計的一章,事業部經理除了要了解會計報表外,更要知道做決策的工具-邊際貢獻,邊際貢獻出現負值是指做的越多賠的越多,事業部經理不能一昧的去衝量,否則會做出錯誤的決策,甚至還要運用邊際貢獻制定產品最低訂價,這種種策略,須透過通才養成訓練反復練習,企業負責人才放心下放權利
十、事業部財產劃分
利潤中心的績效,坊間都是以利潤目標達成率作為衡量的準繩,但在國外卻是以投資報酬率(RETURN ON INVESTEMENT,簡稱ROI)來評量的,所謂投資報酬率,係指報酬與創造該報酬之投資本金間之比率關係,其計算公式為:營業利益/總投資,營業利益就是損益表內所記載的本業利益;總投資係指總資產。因此,各事業部於成立之初,須建立資產負債表,才能據以計算ROI;至於總公司資產及負債,依權利及責任切割予事業部如下:
1.資金與外匯由總管理處統籌調度,各事業部所需週轉資金,一律向總管理處請款,並以「內部往來」列帳;如需要資本性投資資金,以「內撥資本」列帳,兩者長短期還款期間不同。至於各業部收回的貨款,沖轉「內部往來」,抵減利息費用。事業部的利息費用,是按「內部往來」與「內撥資本」的餘額用積數求算。
2.設備按各部實際所需,劃分於各事業部。
3.材料、半成品、成品依實存量撥歸各事業部。
4.土地除各事業部佔用及必須的空地外,劃歸管理處的倉庫中心,嗣後各部使用時計收租金。
5.事業部應付帳款、票據與應收帳款、票據,依供應商別及客戶別直接歸屬。
6.不屬於各事業部的資產(設備)統歸管理處處理,列為共同資產,其所發生的成本與費用,依貢獻度與使用資源多寡分攤予各事業部。一旦財產歸屬確定,日後若發生閒置或不堪用,則由各事業部自行負責。
十一、擬定合理利潤目標
事業部兼管產銷,生產屬成本領域,行銷屬收入範圍,亦即事業部經理依權責須對利潤(收入-成本)目標負責,通常事業部按下列方式訂定合理利潤目標:

十二、事業部銷售預算編制要領
1.根據未來市場分析、市場成長率、市產占有率等因素推估下期預計銷售量。
2.然後將預計銷售量分配到客戶與產品的組合結構,產生產品預計售價。
3.預計銷售量乘以預計售價,得出下期預計營業額。
4.銷售預算需細分至單品別客戶別通路別業務員別區域別內外銷別,以便日後便於查對差異所在。
十三、設定標準成本
所稱標準成本,係指企業在經營時所產生的經營成本,必須維持在合理狀態之下而言,若超出此標準成本,即進行原因分析或事先加以控制,立即尋找解決對策,以使成本回復在正常狀態下,進而做好人、機、物的管理安定化。標準成本是指標準的材料、人工與製造費用,茲彙總如下:
標準原材料: 單位標準用量 (BOM)×預計耗料單位成本×預計下期生產量
標準直接人工: 單位標準工時 (UPH)×預計工資率×預計下期生產量
標準製造費用: 可控標準固定費用:原則可抓上期總額可控標準變動費用:單位標準用量×單位標準成本×預計下

不可控固定與變動費用,非事業部所能掌控,不宜由事業來承擔。例如負責人因市場判斷錯誤而多買三台設備,因閒置未用所產生之折舊、基本電費、保養費、保險費等不可控制成本,應全部歸屬總管理處承擔;至於總管理處本身所發生之行政費用,屬共同費用,仍需依貢獻度與使用資源分攤給各事業部。
十四、轉撥計價方法
事業部間上步產品是下步所需原料,才有轉撥計價問題,其性質與共同費用分攤不同。轉撥計價標的是「貨品」,而共同費用分攤是指「費用」。事業部貨物之內部銷售(撥出部門)與內部進貨(撥入部門)雙方協商的價格稱為「轉撥計價」。例如:在機台內投入黃豆,產出沙拉油與豆粉兩種聯產品,但查生產飼料所用的原料也需要用到豆粉,此時油脂事業部對於所產出的豆粉,一方面可以外賣,一方面也可以內部轉撥給飼料事業部,若外賣價格較好,油脂事業部可以選擇不轉撥而提高收入;反之,若向外採購豆粉價格比轉撥價低,飼料事業部可以選擇不轉撥,而改外購以降低進料成本。由於轉撥價的高低會影響撥出與撥入部門的損益,因此,事業部間會斤斤計較轉撥計價方法,但不能因轉撥計價而破壞公司的整體利益,例如豆粉滯銷,此時總經理必須出面協商,要求飼料事業部買入豆粉,消化油脂部存貨,其間差價由總管理處吸收。
至於轉撥計價之方法坊間多採用市價酌減法,亦即以產品的市場價格做為轉撥計價。此法可使利潤中心接受市場之考驗,並與其他同業立於進貨成本相同的地位,真正衡量其經營績效。不過,產品轉為內部使用,自可節省許多對外銷售之費用:包裝、佣金、廣告、運輸、呆帳;另外,轉入部門若為長期客戶,尚應享受數量等折扣,凡此等費用或折扣,應可從市價中減除。其次,市價常常會變動,故需將必要扣除費用換算成百分比,以便於速算。例如:A產品公平市價每件10元,扣除必要費用10%,轉撥價為9元(10元x(1-10%),若市價調為11元,則轉撥價調整為9.9元(11元x(1-10%)。有關市價酌減法之轉撥計價表格,請參閱附件三。
十五、銷管財費用分攤
1.推銷費用直接歸屬到事業部
事業部經理兼管產銷,營業單位推銷費用當然可以直接歸屬到各事業部;其次,業務員每月的用人費、交際費與差旅費等開支,可按業務員服務的客戶,搜尋到產品,然後再按各產品營收占比,歸屬到單品項下。
2.管理費用: 按「使用資源」與「貢獻度」分攤
(1)人事部門費用:投入的人數
(2)財務部門費用:50%用人數,50%用營業額
(3)採購部門費用:採購物品的價值
(4)倉儲部門費用:用材料,成品之收發數量
(5)MIS部門費用:用每支程式或系統之服務時數分攤
(6)運輸部門費用:運送物品的里程及數量
(7)其餘共同費用:用「使用資源」與「貢獻度」分攤,例如:房地租金或財產稅按使用面積大小來分攤
3.利息支出:
按事業部資產負債表内所載「內部往來」與「內撥資本」的餘額,用積數求算短期利息與長期利息。
4.RD費用:按Project別與產品生命週期按月分攤至單品項下.
5.匯兌損益:統由財務部操作,外銷以出口時押匯匯率兌換成台幣收入,進口時用銀行墊款時之兌換率換算成台幣採購成本,事業部一律不認列匯兌損益.
十六、產生利潤中心報表
利潤中心報表主要有事業部損益表及事業部資產負債表:
1.事業部損益表

上表B事業部淨利雖較A事業部為高,並不表示B事業部獎金比較多,還要考慮有沒有達到事業部目標,若B事業部所訂利潤目標為5000萬元,換算目標達成率只有50%(2500萬/5000萬),台灣一般中大型企業利潤目標要達成80%以上才可以領獎金,本案B事業部淨利雖較A事業部為高,最終還是領不到獎金。其次,坊間事業部損益表會計科目與普會完全相同,無法制定營運決策。而本表列有「邊際貢獻」科目,邊際貢獻出現負值,表是賣的越多賠的越多,事業部經理必須詳加了解,避免做出錯誤的決策。
2.事業部資產負債表
編制事業部資產負債表的目的主要是為了設算資金動用之利息費用與投資報酬率(ROI),事業部越快出售貨品及收回貨款,一面減少存貨積壓,一面快速
沖轉「內部往來」,利息費用隨之降低;又各事業部若無必要,不要任意從事重大投資,亦可減少「內撥資本」餘額,提高投資報酬率,茲編制事業部資產負債表如
下:

十七、事業部績效評量
1.以「事業部利潤」作為衡量指標
台灣地區對於利潤中心之績效衡量,普遍以「事業部利潤」作為唯一的衡量指標,利潤權數訂為100%,唯若只考慮「事業部利潤」的話,事業部經理會任意用擴大投資的手段增加利潤。因此,在衡量利潤中心績效時,不僅要重視事業部利潤的多寡,還要考慮資金投入的狀況,故國外採用「投資報酬率-ROI」的高低,來評估事業部的績效。
2.以「投資報酬率-ROI」作為衡量指標

但以ROI作為衡量指標,會產生新投資之ROI;若小於現有之ROI時,事業部經理就不會從事新投資活動,而減少整體利潤,

3.由上表得知,甲部門新投資的ROI為20%,比現有ROI 30%為低,此時甲部門不會選擇新投資,而降低整體利潤20,000元;反觀乙部門因新投資的ROI為20%,比現有ROI 16%為高,乙部門自然會從事新投資活動。
4. 目前臺灣企業對事業部業績,仍以「事業部利潤」作為衡量指標。亦即:
利潤績效=(實際利潤/目標利潤)×利潤權數 (100%),達到利潤目標80%以上就發給利潤獎金。
十八、事業部績效獎勵辦法
1. 獎金計算公式
利潤中心獎金:事業部實際利潤額×提撥率
2. 提撥率
(1) 用目標達成率或達成分數之高低,訂定提撥率。
(2) 目標達成率需訂定級距 (Range),不同級距設定不同提撥率,達成率 (分數) 愈高,提撥率就愈高,獎金越多;反之,就愈低。
3.案例演練
例:A事業部年度目標為3億,實際利潤達成80%,提撥率為3%;達成
100%提撥率為10%;達成150%,提撥率為20%,依次計算應得獎金如下:
(1)實際利潤達成80%以下時,獎金為0。
(2)實際利潤達成正好80%時:
應發獎金:3億x80%x3%=720萬
(3)實際利潤達成正好100%時:
2.4億x3%+0.6億x10%=1,320萬
(4)實際利潤達成150%%時:
2.4億x3%+0.6億x10%+1.5億x20%=4,320萬
由上述案例得知,利潤目標達成率越高,獎金越高,這樣才能有效激勵員工。至於事業部所獲得獎金,產銷及行政單位,各自依其部門內部所訂KPI指標分配之;而主管與部屬配比,一般訂為8:2。


大型企業或多國企業機構(如IBM公司)為便利當地的作業,並提供最有效的產品與服務,往往依地區別劃分事業部,各地區自成一個獨立自治單位,產銷權責亦依地區歸屬。
B.產品別聯邦式分權制(如圖):


公共工程品質管理人員回訓班 - 實體景觀工程施工技術實務(假日實體) - 確認開班
上課時間 2026/04/11 ~ 2026/04/26
【Total Productive Management】自主保養及計畫保養 - 設備管理從小地方做起
上課時間 2026/08/07 ~ 2026/08/07
ISO9001&IATF16949量測儀器校正管理實務 - 讓「精準」成為品質的根基,打造零缺點製程力!👍 - 請自備筆電上課
上課時間 2026/11/16 ~ 2026/11/16
職業安全衛生業務主管暨管理人員安全衛生在職教育訓練 - 日間 - (職安舊生優惠價1200)
上課時間 2026/05/07 ~ 2026/05/07
DOE實驗設計 - 南科班 - 第二梯
上課時間 2026/11/20 ~ 2026/11/20
短影音行銷 – 掌握流量密碼與變現法則 - LINE@ID:@274aywrg - 實體+遠距同步 - 林特豐老師
上課時間 2026/11/04 ~ 2026/11/04
品質保證制度 - 掌握品質管理全流程,打造可靠產品與服務💎✅
上課時間 2026/12/03 ~ 2026/12/03
生成式 AI 的辦公必殺技:教你做出會自己跑的工作流程
上課時間 2026/04/07 ~ 2026/04/07
荷重在一公噸以上之堆高機操作人員安全衛生在職教育訓練(南科班) - 下午班-堆高機回訓 - 請上傳原始證書
上課時間 2026/06/17 ~ 2026/06/17
產品加速壽命試驗(ALT)技術實務 - 假日班
上課時間 2026/09/12 ~ 2026/09/13