迷霧森林2-在變動的專案進程中,數字訴說的真相
- 撰文者:
- 2020/05/28 瀏覽數:1460
我眺望遠方的山峰 卻錯過轉彎的路口;我尋找大海的盡頭 卻忽略蜿蜒的河流
——林志炫<沒離開過>
每當專案規劃完成,開始付諸實行的那一刻,我們就一腳踩進了屬於未來的不確定迷霧中,面對著環境的變動與風險,只為最後能得到那粒垂涎已久的金蘋果。而迷霧中,令人無奈地惟一不變的就是所有事情都在變,應對方式可以分為質性及量性兩種,惟有兩者兼具才有希望取得最佳的結果。
質性的應對方法提供了專案規劃的架構,促使我們能在量化資訊不足,或是無法以量化方式精準面對問題時,能具有一套依據理性而產生的流程,進而適度地面對變化。在《迷霧森林1-從不確定性中確定專案》一文中,我們說明了不確定性的來源、利用OODA循環理論及WBSA八大程序建立了工具模板,並且說明了以動態對風險的適用性與必要性,而其中,量化資訊在每一個階段都無處不在,端視是否能發現並加以利用。
因此本文將由應對不確定性的方法:預測開始,向下衍生出預測模型的基礎數理概念,並嘗試藉由這些條件尋找最佳的決策及最適用之工具,期望能在每一個階段都做出最佳的選擇,達到最終結果的最佳化:完整的吃掉那顆願景中的金蘋果。
預測與脆弱的未來
在未來的不確定中,變異隨時都在產生,而且受到初始狀態影響極大,因此為了更好的應付了未來的狀況,預測一直是不可或缺的一部分,也是一直以來面對不確定性的主要辦法。
預測能力的進步一向伴隨著文明的進步,從推測動物的遷徙以便於獵取,到週期性的種植作物並得到穩定的食物供應,再到工業製造定期定量的產出產品。然而隨著文明的前進,新的預測難題卻也緊隨著出現,從工業產品的供需平衡與庫存管理,到資訊時代的大量數據,金融、天災、醫療到社會活動與趨勢,無一不是等待被克服的難題。
然而,在變化會受到初始狀態影響並隨著時間延伸此一前提下,任何一刻的變動都會導致最終結果的不同。如上所述,將引導出一個以預測為方法來面對未來不確定性時最重要的性質,即「任何對於未來的預測都是脆弱的,當預測越遙遠的未來,準確度將隨著時間跨度而急遽降低。」(圖一)
圖一、預測準確度隨時間降低
.jpg)
但是若單獨就如此便明言預測不具備實質上的意義,卻又仍顯得有些過度引申與悲觀。方法上,我們可以利用演繹法(deductive method)推估未來的合理結果;而歸納法(Inductive Method)則提供了產生曾經發生過的相同結果之最大可能性。如果遙遠的未來讓預測準確度急遽降低,那我們就將時間切分;如果預測準確度脆弱而容易受影響,那我們就追求最大期望值(expected value)。
我深知預測的限制,盡可能地做出最好的決策後接受結果
不是全知全能的我們,無法以決定論1(所有條件已知,則結果導向必然)來看待任何一件事情,因此任何對於未來的預測都是脆弱的。為了將感知的觸角伸入不確定性迷霧的深處,以及保護這種無可避免的脆弱,需要的是理性與推論的力量,而數理模型則提供了可供選擇的工具與方法。
然而在現今已有的知識體系中,數理預測模型都有其限制性,而且由於大多數的模型都來自於機率,並不是可以直觀理解的部分,因此有很多原本看似理所當然的推論實際上都只是錯覺2(誰跟你說事件會/不會發生的?誰跟你說這個東西是常態分佈的?),而且對於毀滅性的打擊幾乎都不能預測3(事情發生才知道原來是有可能發生的,就如同一隻黑色天鵝撞到身上的車禍現場),所以在應對上才顯得困難。
因此我們可以大膽地宣稱:知識所能具備的價值與品質不在於存量,而在於能多好的預測未來,並且在質性與量性上均能有所具備。縱然未來不可知而預測脆弱,人們還是在不斷地在遭遇問題,克服它,然後再遭遇問題,再克服它的循環中進步。我們既沒有任何放棄努力的理由,也無法承受放棄後的後果,而現有的應對方式,則大多源自於事實經驗、歸納演繹到推導通則的過程,換言之,從數理統計到預測模型。
在現今的數理統計當中,大多數所利用的是費雪(Fisher)及和他同時代的人所提出,希望能去除可能性偏差影響的統計,或又稱為「頻率論」(frequentism)4。此類型的統計建構在已經發生的事實之上,藉由過往所發生的事件,推斷出實際上事物的全貌。然而,正因其完全建立在已發生的事實基礎之上,因此在面對未被預期或是過去不曾發生的事件時,即所謂的「黑天鵝」時,其能力便受到了相當的制約。因此,頻率論統計歸納事實的基礎,在初始條件變動不大的情形下,足以推估事實全貌,也因此在科學的進展上佔有重要的一席之地,但是其侷限也相當明顯,容易因未被預期的事件而受到毀滅性的打擊。
另一種則是屬於英國牧師貝葉斯(Bayes)所提出的貝氏學派統計,利用趨近法的方式來認識一件事物,並且隨著證據越來越多,也就越來越接近真理。貝氏學派的統計方式被認定是一種相當主觀的數學,首先會估算一個事情可能發生的機率,形成一個先驗機率,而後隨著新證據的不斷出現,連續地修正先驗機率形成後驗機率,並依此來趨近真實。有鑑於其主觀性,一開始的預估可能相當不准,也不符合大多數人所尊崇的「理性」與「真理」,然而這卻會在不斷地迭代(更新)過程中趨近事實,也被認為是人腦面對世界並學習的方式5。
由此可知,任何對於未來的預測都還是受侷限的,尤其在最初所給出的估計之中,在沒有進一步的證據之下,無論是樣本數的不足或是主觀的先驗猜想,預期的結果並沒有任何使人信服的理由。但是這邊卻必須說,在有限的資訊及限制之下,縱然結論也許不是最精準的,卻在當下仍然是最適合的,然後結果將成為經驗及養分,成為下一次判斷的依據,而每一次的結果都將更精準。是故在明白了侷限,並且確保在限制下仍然能夠做出好決策後,便能利用形成好決策的基礎:期望值(expected value)來形成一連串的理性佈局了,這很貝氏。
所以,只要依據理性做出當下最好的決定,然後不要後悔地接受結果,就是我們在不確定性的迷霧中漫步時,最好心態了。
然後,確保執行的延續,將故事寫成我們
綜上所述,我們希望在專案規劃與執行時的每一個階段都下達最佳決策時,首先依據的還是理性,而理性來自於量化資料的提供,然而有時單一階段的最大期望值並不等於結果的最大期望值,這是容易陷入的誤區。
課堂中所聽到的理性,有很大的一部分是指數理方面的理性,僅針對單一事件而不考慮延續,與現實情境並不是完全相容。在數理方面的理性中,一旦期望值高過於零,一個理性的決策者就應該投入資源,因為在第一次投入、第二次投入到的N次投入的過程中,隨著次數增多與時間拉長,收益是可預期的,而每一次的投入甚至不用符合同品項或是同種類,只要符合事件期望值為正的條件就好。
然而這卻容易形成了一個誤區,可能令人在一夕之間失去所有:假設A身上只有50元,甲選項投資結果期望值為正,A應該將50元全部投入嗎?相當多學習到期望值概念,並且被數理模型所說服的人們就依據理性這麼做了。
期望值無論數字產出為何,都無法去除本身建立在機率的基礎之上。因此,依其而產生的行為模式必須在每一次單一決策中都在兩個前提條件下進行:
- 保證安全退出
每一次依據理性所做出之單一決策,除了以期望值為判斷標準外,亦須確保其可能遭成的損失(也有一定的機率),對個體只會造成輕微或可接受的影響。意即,在前例中,若A的全部身家只有50元,就算甲投資期望值為正,也不應全數投入。
- 保證連續賽局
期望值的實質獲益建立在長期多次的決策之下,隨著每一次單一決策的期望值為正,越多次的選擇則獲得收益的機會越大。若甲1、甲2…甲N或甲1、乙2…丙N均為正(事件不一定相同,期望值為正即可),則應於每次在不違反(1)保證安全退出的情境下部分投入。
產生以上兩個前提的原因來自於機率與現實情境的交互作用。試想,若進行甲投資時均以50元全部身家為賭注,則將會有一定的機會無法進入連續賽局,第一次(50元)、第二次(50X元)…第N次(50X(N-1)元)時剛好失敗,則不只先前所獲得之收益將一次性的全部損失掉,亦已無資源進行另一場賽局。然而若甲投資每天能有一次機會,而A每天均能從其他管道固定獲得50元,則每日投入50元(或在去得收益後投入50元以上但未滿50X(N-1)元)便看似一個不錯的選擇。
而且,我們步步為營、築夢踏實,而後平步青雲
於是,為了在專案設計與規劃中應對未來的不確定性,並且在執行上不偏離理性,於最終結果中追求最大期望值,具體而言,我們可以將做法濃縮成一句話:以動態建立階段性起點,限縮變動可能性。
首先,在變化會隨時間進程而產生此一前提的給予下,任何一個細微的時間劃分都能視為一個新的初始狀態的描述也同時成立;第二,由於變化受初始狀態影響極大。因此建立階段性起點將能夠達成滾動式管理的效果:歸零並重新確認現狀,並更新參數進行更精準的預測。
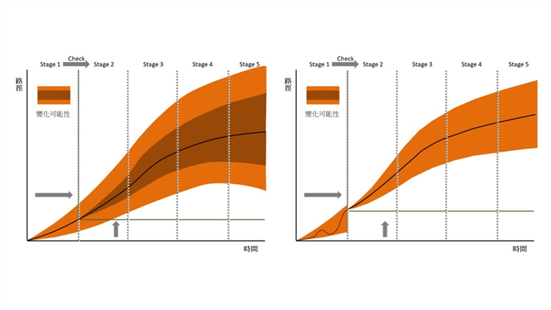
如圖二所示,若將時間與進度狀態分別以X軸與Y軸表示,則是否劃分出新階段將影響最終預測結果可能產生的範圍大小,足以使變動可能性限縮並且進行更好的預測。途中的黑線代表原本預測的變化,而變化可能性則說明了過程中可能的變動範圍,stage 5 最右邊的大小則是我們最終結果與希望結果可能產生的差異。
左圖中,可以看出在規劃時是否於 stage 1 及 stage 2 重新建立階段性起點將影響預測最終結果時的精準度,而右圖則是當實際執行完 stage 1 時(虛線),得以依據當下實際結果重新預估最終結果(黑線終點)與變化範圍(淺色土黃)。
圖二、建立階段性起點與限縮變動可能性
.jpg)
有了上述概念之後,無論在流程或計算上,便能夠利用劃分時間段落的方式來確認執行現況並進行更精準的預測了(對應灰色虛線)。例如圖三說明了工作進度與經費進度的差異、圖四則在工作進度上確認每個階段的重要是否完成(紅色菱形)、而圖五則概述了從產品誕生到消亡的整個過程,其中每一個階段都可以進行確認,也能夠重新進行預測。
圖三、進度差異說明
.jpg)
圖四、甘特圖
.jpg)
圖五、產品生命週期
.jpg)
此外,在使用動態排程的工具上,亦已經有軟體程式諸如Microsoft Project6或Primavera P67等排程軟體,可以將資源報表、時間排程、成本花費、成果彙編等大量資訊自動進行撫平與整理,並且解決重複與衝突,避免大量繁雜的計算與投入,以投入時間成本較少的方式面對複雜的情境與階段性規劃。
於是,我們在迷霧中拿起了一張地圖-門徑管理系統(stage-gate)
截至目前為止,在以量化方法進行規劃、以理性預測面對未來的道路上,都主要圍繞著圖二所給予的概念:以動態建立階段性起點,限縮變動可能性。整體而言,將時間進程切分成性質相近、時程較短的小型工作階段除了較具備修正的效益與維持自身邏輯的一致以外,更具備以下特性:
(一)變更起點(基準點):利用階段性的切分,將小階段最終的實際結果作為新的起點,將變異歸零重新進行預測,即時抓取現實狀況並進行更新。若小階段最終的實際結果偏離原先預測,也能調整路線或抓出細部原因與影響,最後調整規畫並重新進行規劃。
(二)限縮預測範圍:由於變異可能性將因為起點重新設立而歸零,其預測模型而產出之變異範圍也會因此而向內塌陷,縮小在不遭遇毀滅性打擊的情形下,更精準掌握最終結果。
(三)平衡規劃與執行:重新設定起點除了限縮預測可能性的範圍之外,亦有容許因應實際狀況而變更預測模型及其範圍的能力。若其中實際發生的過程已經確定並且產生差異,則能夠根據實際的情形再一次的以此為標準進行預測,如此則可以依據現況調整方向趨進目標。
於是,在階段與階段之間產生了關卡(Gate),用以評估主要應採取的決策(圖六)。關卡在架構上主要分成檢查項目(Deliverables)、標準(Criteria)與階段產出(Output)三個部分,而標準將決定所採取的動作,包含過關(Go)進入下一個階段、暫緩(Hold)決定重新評估或等待、回收(Recycle)成果資訊用於本階段以更加符合標準或淘汰(Kill)進行即時止損。
圖六、關卡構成
.jpg)
在有質又有量的面對未來之後
於本文中,重點描述了量化概念在專案規劃與執行中的角色。從針對預測的需求開始,到利用數理統計作為原理,在確保安全與連續的前提下發展出門徑管理系統(stage-gate),或又稱階段查核系統,以求量化資料可輔助決策並求得最佳的最終結果。這些工具的應用從小到工作排程確認,大到產品生命週期,都可以看到這些概念的影子。
如果說OODA循環理論及WBSA八大程序讓我們有可能階段性且循序漸進地完成一個願景,那麼階段查核系統就明確地指出了在每一個階段當中應該如何去執行。在社會充滿不確定性的環境中,縱然只是一個模糊的機率或可能性認定,都可以視為一個量化資訊,就如同被批判為主觀的先驗機率,都是起步的基礎,有總比沒有好。
然而在每一次的劃分階段中,仍然都需要為此付出成本。因此縱然如同貝氏統計精神一般,應該要利用新取得的資訊與細節,不斷微調方向直至與願景狀態重合,但是無時無刻不斷取得新資訊-再修正-更新將會在作業上耗費大量精力資源,並且造成進度窒礙難行,因此,每一個獨立的案件與規劃都需要針對其特性進行調整,所需切分的階段數量與每階段的內容,都將依狀況而定。
在試圖將理想願景成功實現的過程中,必然經過將無形知識轉換為實際產出的過程,而知識所能具備的價值與品質不在於存量,而在於能多好的預測未來。可惜縱然已經具備具體的方法論與量化資訊,我們仍面對著毀滅性事件打擊的可能性,也就是所謂的「黑天鵝事件」。黑天鵝作為一個災難主要是因為我們有自己不知道自己不知道的事,這項問題以目前已討論過的方法仍然無法面對,這是本文的限制,但是卻並不代表沒有辦法應對:完整的門徑管理系統及槓鈴(雙峰)策略將提供一套可行的方法,這又是另外一個故事了。
門徑管理系統(stage-gate)也可以作為一個專有名詞,可以特別指稱Robert G. Cooper所開發的新產品開發(NPD,new product development)流程管理技術8,而產品在廣義上可以泛指將屬於無形知識的概念(idea),轉化為實際物品、服務或任何改變現狀之現象的過程。Stage-Gate 系統與 Charles M. Crawford 所提出的新產品開發管理有著異曲同工之妙9,同樣以階段性為主、同樣需要量化資料,也同樣專注在流程管理配合預測報酬,而新產品產生的過程與影響,一向是最不可知的。
所以當我們在眺望目標願景的同時,不要忘了現在所站立的位置;當我們在尋找理想的當下,也不要忽略周遭所隱藏的危險。每當行走在不確定性的迷霧中,我們拿著拐杖站穩腳步,然後用數字製作探針,去尋找那塊隱藏在遠方的理想鄉。
【參考資料】
- Hoefer, C. Causal determinism. (2003).
- Taleb, N. Fooled by randomness: The hidden role of chance in life and in the markets. Vol. 1 (Random House Incorporated, 2005).
- Taleb, N. N. The black swan: The impact of the highly improbable. Vol. 2 (Random house, 2007).
- Silver, N. The signal and the noise: Why so many predictions fail-but some don't. (Penguin, 2012).
- Knill, D. C. & Pouget, A. The Bayesian brain: the role of uncertainty in neural coding and computation. TRENDS in Neurosciences 27, 712-719 (2004).
- Howard, D., Chefetz, G. & Walker, R. Ultimate Study Guide: Foundations Microsoft Project 2013. (Chefetz LLC, 2013).
- Harris, P. E. PROJECT PLANNING AND CONTROL USING ORACLE® PRIMAVERA® P6 Version 8.2 EPPM WEB “Enterprise Portfolio Project Management”. (2012).
- Cooper, R. G. Stage-gate systems: a new tool for managing new products. Business horizons 33, 44-54 (1990).
- Crawford, C. M. New products management. (Tata McGraw-Hill Education, 2008).
猜你喜歡
何重大危機發生後,總有許多人放馬後炮說,主事者原本應該能預料到災難可能發生。心理學家已經歸納出一種「事後諸葛效應」(HindsightEffect),他們提出有系統的證據,顯示人們在事後回顧時,會相信某一事件比實際上來得更容易預料。令人震撼的是,主事的領導者,原本應該可以針對這些資訊採取因應行動的...
專案管理的定義就是「運用管理知識、技能、工具和技術來規劃專案各項活動,以能符合專案的需求」。 它不僅在談對各知識領域的了解,更告訴我們當面臨不同的情境問題時,要如何善用這些適當的工具和技術,來處理問題及化解危機或風險。
縱然已經溝通建立共識、規劃形成專案,也必須面對執行過程中的變化,於是,面對未來的不確定成為了課題,如何面對變化,也就是面對未來的不確定性,成為了所有在規劃-執行-取得成果過程中最重要的議題。應對方式可以粗略分為質性及量性兩種,惟有兩者兼具才有希望取得最佳的結果,然而在規劃初期,或是目標訂定時,往往不具備足夠的量化資料,因此,一套有效的質性(並且兼容向下發展量化計算)架構變成為了必要,本篇引導出實際的質性方法面對變化。
急救人員安全衛生教育訓練班 - (日間班) 第二天課後結訓測驗
上課時間 2026/06/22 ~ 2026/06/23
【ESG永續發展系列課程四】中小企業ESG導入工作坊
上課時間 2026/09/04 ~ 2026/09/04
顧客服務之問題分析與解決技巧
上課時間 2026/11/11 ~ 2026/11/11
防火管理人訓練初訓班 - (臺南班)
上課時間 2026/10/06 ~ 2026/10/07
AI影片製作實戰:從零到一打造高效吸睛影片 - 遠距教學 - 假日班 - 第二梯
上課時間 2026/07/18 ~ 2026/07/18
甲種職業安全衛生業務主管安全衛生教育訓練班(南科班) - 夜間班 - 兩人以上優惠價,每人5250元 - 請勿繳費待上課通知
上課時間 2026/04/27 ~ 2026/05/13
熱烈招生中【平日日間視訊班】土建類-公共工程品質管理人員回訓班 - 都市土木施工品質管理實務(一)(二) - 【平日日間班】 - 報名資料請先mail - 熱烈
上課時間 2026/10/20 ~ 2026/11/05
問卷設計與分析應用實務班
上課時間 2026/07/21 ~ 2026/07/21
PLC控制器入門實作班(基礎邏輯與應用實作)
上課時間 2026/05/30 ~ 2026/06/13
現場主管管理效能與報表分析實務研習班
上課時間 2026/06/09 ~ 2026/06/09