迷霧森林4-雙極性產業循環躁鬱症
- 撰文者:
- 2020/09/16 瀏覽數:1119
In the circle of life, and it moves us all. Through despair and hope, through faith and love.Till we find our place on the path unwinding. In the Circle:The Circle of Life.
-The Lion King《Circle of Life》
媽媽,這邊有一條只吃自己尾巴的蛇
在新產品開發過程中,從想法(idea)篩選到上市(go to market)後應用,從看見機會到開始實際賺取到利潤的每一個各別階段,都像一條鎖鏈一般環環相扣,並且當每一個環節單獨存在時,都會顯得異常脆弱。因此,新產品開發管理專業(NPDP)1-3才以門徑管理系統(Stage-Gate)4,5貫穿開發流程,串聯每一個步驟的連貫性。這套嚴謹、精細且具備連貫性與邏輯性的創新方法論,極大地提高了成功的可能性,同時避免了過多的投入或錯誤的方向。
然而,在創新發現(Discovery)階段之前與商業化(Commercialization)階段之後,都與整體產業環境 (或者市場)息息相關。新產品開發需要以機會辨識及選擇開始,然後以發表上市告終,門徑管理系統(Stage-Gate)卻對於如何開始機會辨識與如何評估發表利用的結果缺少足夠的描述。
所幸,世界商務策劃師聯合會(WBSA)以「商務企劃八大程序」6部分補足了這塊不足,一方面藉由目的明確化將創新發現從環境之中摘取出來,一方面則以行動計畫明確化後的結果,向前滾動修正目的與願景的訂立,並且重新描繪我們對於現狀的理解,將「我們的所作所為」連接到了「我們所在的環境」。
但是,這仍然只是一個「環」,專注於利用一個「特定的專案」,產生一個「特定的結果」,卻無法觀察兩個以上「結果」的互相關聯,更無法推算眾多結果之間互相累加、影響之下所產生的「趨勢」。就像一條首尾相銜的蛇,不指引別人去吃下美味的蘋果,只專注地吞自己的尾巴。
所以,將NPDP與WBSA的合併便成為了一個機會:隨著整體環境的趨勢將自我成功機率最大化的機會。利用兩者的觀念與工具,一個原地盤旋的環逐漸變成一條伸縮自如的彈簧,在一圈又一圈的迴旋中,從一開始地跟隨著趨勢,到開始影響或塑造趨勢,互相配合又生生不息地盤旋著向更好的未來前進。
受困在知識技術與市場經濟之間的企業家們
在將「環」三維拉伸成「彈簧」之前,首先需要知道環的型態與元素,才能拉伸而不至於扯斷。環的形成來自於兩個端點相互的作用力(圖一):一端起始於無形的知識與技術,基於資訊本身自我複製與擴散的傾向,自然而然地形成一股向四周環境產生影響的力量。
因此科學與技術促成了社會的進步、E=mc2創造了目前最可怕的武器、對神靈的崇敬發展出了現今的表演藝術,所以知識有價;另一端則源自於社會的認同與物理條件的限制,基於社會群體的觀念,在不違反自然規律的前提下,收束已經發散的資訊,淘汰未被選擇的知識及其產物,形成一股具備指向性的力量,而後重新對無形的知識與技術給予支持或燃料。
因此我們今天生活在一個科學而不是煉金術的世界、北歐的簡約風格擴散到了世界各地、英國的下午茶成了美好的社交手段,卻沒有人想去嘗試一道名為〈仰望星空〉的料理。
圖一、產業循環躁鬱症的雙極
.png)
然而這樣一個相互關聯又循環往復的趨勢,卻在時機上極難掌控。而無數的人們(尤其是企業家)就被拉扯在這兩股力道的循環之間,一方面不知道未來的社會認同將在何處向何方收束(市場獲利),一方面疑惑到底何種知識與技術應該在何時被投入發展(新產品開發)。
來回擺盪的過程就像精神病理中的雙極性躁鬱症一樣,一方面煩躁應該開發何種新產品,一方面憂鬱市場何時會拋下目前的主力產品;也正如同葉片被困在漩渦中打轉一般,沒有衝出限制的力量,也沒有維持穩定打轉的能量,最後只能被吞沒在水面之下。
可是任由社會的趨勢與歷史的浪潮吞沒,實在不是一個理性的選擇。因此在維持循環的同時,將「環」立體拉伸成為「彈簧」,一邊繞著兩股力量擺盪,一邊利用彈簧的彈性調整到符合整體趨勢的方向,就成為了永續經營的基礎。
如同維科(Giovanni Battista Vico, 1668-1744)所提出的螺旋史觀所述7,8,歷史發展並非簡單的直線或循環可充分解釋,歷史雖然整體往前,有時也會後退。當然,更有可能在極短的時間內左右擺盪!
因此當專案不再只是一個為了特定目的的執行過程,而是整體策略趨勢的一部分時,調整修正各大小專案以嵌合眾多專案成果的彈性,就會是方法論中必須具備的特性。而WBSA源自OODA9,10理論的快速修正能力,與NPDP嚴格的階段性檢核互相結合後,便足以形成一套有效的循環策略,促使我們的策略目標在受到社會趨勢所支持的同時,增加與累積每一次循環後所能得到的效益。
讓市場為產品放下船錨,為產品將勾鎖扣進市場
結合WBSA與NPDP的目的,在於利用前者向前分析環境、向後連結市場,而後者則夾在兩個步驟之間,確保最高的成功率。於方法上,我們用到了本系列文章前幾篇中提到的原理,可以形成一個源源不絕的循環,在不被吸入漩渦中心的同時,累積跳出漩渦的動力。
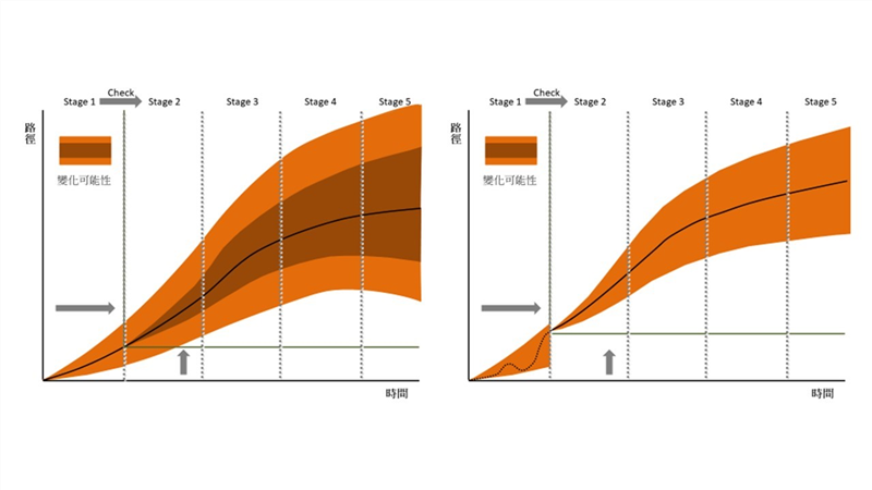
首先,(1) 在〈迷霧森林1- 從不確定性中確定專案〉中,我們利用WBSA企劃八大程序及其源自OODA策略的特性,快速地與環境互動,並且利用結果修正行為(圖二);然後,(2) 利用〈迷霧森林2-在變動的專案進程中,數字訴說的真相〉一文中所提及的門徑管理(stage-gate)(圖三)建立階段性起點,同時限縮變動可能性(圖四),讓理性填充了足夠的燃料與動力,將社會的趨勢向無形的知識與技術收束,促使市場為產品放下船錨;再來,站在(2) 的基礎上,(3) 把〈迷霧森林3 -你能掌握風險嗎?面對未知的危機〉文中所描述,可以控管風險的NPDP(圖五)作為馬達,把從無形知識與技術中產出的產品推向市場,將為產品的勾鎖牢牢扣向市場。
圖二、OODA流程與WBSA程序
.png)
圖三、關卡構成
.jpg)
圖四、建立階段性起點與限縮變動可能性
.jpg)
圖五、新產品開發管理與門徑管理系
於是,在結合前述(1)、(2)、(3)點後,將相依相連的NPDP與WBSA相互結合比對,便可以形成下圖(圖六)一般的對應關係。機會辨識、Stage 0 (發現)與目的/願景的成立,都直接來自於市場環境的資訊,而發表是對策與行動計畫明確化之後的結果,直接往回修正(圖七) 目的/願景的成立,而此時形塑目的願景的市場環境資訊,已經受到產品發表的影響,然後,再重新開始了一個循環。
圖六、NPDP與WBSA對照關聯圖
.jpg)
圖七、重新發現目的/願景的修正

將一圈圈的循環,化作無限延長的彈簧
上述的方式,讓我們能夠在具備充分原理的基礎上,有機會穩定地乘在天時(在對的時間)、地利(符合在地的價值觀)與人和(群眾或目標客群的期望)的浪潮上,一方面維持穩定的循環旋轉,另一方面免除被夾擊在市場與知識之間的雙極性躁鬱症。更甚者,能夠在每一圈的循環中積蓄燃料與能量,直到衝出循環,影響彈簧被拉伸的方向。
然而,要跳出來回擺盪的框架,意圖跳出這樣一個受到雙極性產業循環躁鬱症限制,跨越無力地隨著整個環境擺動的無奈,仍然需要逐步踏實的累積,因此在方法論上便顯得格外重要,於是討論又回到了圖六的對應與架構。
來自市場的資訊是形成機會辨識、Stage 0 (發現)與目的/願景/現狀明確化的主要來源。在對應關係中,開發與發表兩個以時間為劃分的階段,則同時對應到目標明確化、障礙瓶頸明確化、對策明確化與行動計畫明確化四個以概念為劃分的階段。
在架構上,目標與障礙瓶頸明確能夠促使我們進行專案評估,確認案件是否建立並且開始開發。而對策與行動計畫明確則是stage3到gate5的控管,能夠向後連結到Stage 5(發表),讓實際的產品,無論是一個物品、一項服務或是一個方法,進入並進而影響市場。因此,若以單一循環而言,可以將其平面鋪展如圖八所示。
圖八、OODA、WBSA與NPDP之循環

從上圖中可以看出,若以目前現狀(目的/願景/向狀明確化)為起點,經由觀察可以定位具備針對性的知識與技術,決定利用此一特定的知識與技術後便能藉由行動產生新的影響,而後形成一個新的現狀,並再次由原點出發。在圖中,每一次循環所產生的「結果」都會形成下一個起點,因此,在無數次的來回往復之後,無數的「結果」相依相聯、彼此堆疊。而眾多的「結果」在累積影響力之後,慢慢地就形成了「趨勢」,而指定這一股「趨勢」方向的能力,就是已經跳出框架最好的證明了。
然而,在跳出框架之前,至少要先有能力走完一趟循環。
讓我們開始一場華麗的雙人舞吧!
為了走完一趟循環,接下來我們重新將內容聚焦到圖八。在擺盪於知識技術與社會市場的過程中,我們仍然可以概括性的依照OODA循環分成四大部分:
- 觀察
以目前現狀為起點,明確現狀之後可以從中發現機會,而後掃描這些新發現的概念合理性,為定位的工作準備。本部分採取先發散後收斂的作法,先盡可能地收集所有資訊,而後逐步聚焦,搭配出最適合的組合。
- 定位
本部分利用觀察後聚焦出的最佳組合,界定目標及其執行範疇。經由第二次掃描確認可行性後,便足以訂立目標、確認障礙,而後估算所需資源及其所擔負風險後,進入決策階段。
- 決策
此部分依據定位背後所需要與所負擔的風險,決定是否進行開發,將知識與技術化為具備影響力的實體。若是,則針對障礙規劃對策、針對目標建立行動方法;若否,則重新觀察現狀,或是修改範疇與目標。
- 行動
這一段過程可以泛指對策與行動方法的實際執行,經由實際執行可以產出一項產品,此產品經測試無誤後,便可以發表並進一步對現狀造成影響。
在前述四大部分中,每一部分都擁有獨特、互相關聯或是反覆出現的工具表單。當然,既然稱為工具表單,那就會是一個簡化過、兩頁內結束、輔助思考的、質性描述或僅具簡單數字量化的標準描述,不會出現諸如決策樹搭配蒙地卡羅方法(Monte Carlo method,又稱統計模擬法)11,12,或是工作動態排程13配合資源分配14等無法快速學習應用的狀況。舉例而言,大致可以分類如下:
- 觀察
產品創新章程、企劃概念分析、PEST分析(政治、經濟、社會、科技)、波特五力分析、SWOT分析(優勢、劣勢、機會、威脅)、市場區隔分析(人口、心理、地理、行為)等
- 定位
產品創新章程、產品定位聲明、目標客群同理心地圖(Voice Of Customer)、目標客群人物誌、腦力激盪作業表、新產品概念分析表、故事要素分析表、商品概念設計表、品質機能開展作業表(QFD)等
- 決策
產品定位聲明、核心資源與能力分析表、商業模式設計表、完整產品模型設計表、競品分析、行銷策略及戰術設計表(STP、4Ps)、A-T-A-R模型分析表、風險對策評估表等
- 行動
工作細分結構(WBS)、甘特圖、實獲值管理法(EVM)、專案執行計畫表、行銷溝通訊息設計表、行銷溝通活動設計表、行銷策略戰術表等
上述的分類中,個別表單也許在與其他文章或書籍對照時名稱稍有差異、也許有時A與B兩張表單在其他文章中被融合成了一張、也許B的上半部在A的下半部出現了、更也許有一張C表取代了A、B兩表的功能與位階,然而這都遵循著圖八的架構,作為循環中每一步推進的動力。
然後,伴隨著旋轉的舞步,踏向更寬廣的道路
在雙極性產業循環躁鬱症(圖一)中的兩極,同時也是新產品開發過程中從想法(idea)篩選到上市(go to market)的兩個端點中,所必然面對的兩個問題,分別是無形知識與技術中的模糊前端(Fuzzy Front End, FFE)15,與社會及市場反應之後的成果驗證兩項。前者意指從(來自市場的)機會辨識到決定開發階段之間所面對的不確定性,而後者則是發表之後對於發表成果的確認與再利用。
然而利用OODA框架下WBSA與NPDP的結合,雙極性產業循環躁鬱症似乎已經出現了解藥。縱然只是一個圓形的架構,但是架構內的成分也都已經有了頭緒:這些成分大致上如同前一段敘述中,依序提到的各類型工具表單,唯獨在比例上需要更進一步調整:讓它有序、精實、方便且彼此緩衝(以免成為劇毒)。因此也並非將觀察、定位、決策與行動階段中所提及的各種表單都走過一遍就能完成一套循環。
利用這些各自在流程中先後順序有所對應的工具表單,伴隨著明確區分的門徑管理(stage-gate)精神,原本抽象而難以理解的機會辨識與評估發表結果,將以更加明確的樣貌呈現在我們面前。以這種方式,我們的視野甚至將不再局限於單一專案的內部,而是可以推算許多專案「結果」的互相關聯,以及未來互相累加、影響之下所產生的「趨勢」。
因此本文中雖然提及,卻暫不描述各種工具表單的內容,那將在後續的文章中逐步介紹,也需要調整及新增工具表單連動性到合適的比例與合理的順序。縱然如此,目前可以確定的是一套試圖跳出框架,以更宏觀的視野與角度執行策略的方法論已經逐漸浮現。它可以被深入探討,也可以被簡化,能夠針對情況從中摘取適用的部分,也具備在每一個階段添加附屬資訊的能力:只要合理地將需要的資訊以工具表單的方式掛載。
在最理想的情形下,這一支由無形知識與有形市場共舞的循環架構最適用於創新產品開發的公司,能夠隨著舞步逐漸轉出自己的風格,因應著產業的典範轉移16發展出一代又一代的新產品,連結一個又一個的圓環拉伸成具備高度彈性的彈簧,讓每一次的上市都是另一個機會的起點。換言之,以商務而言,未來將不再是僅止於滿足別人訴說的需求,而是告訴別人他想要什麼,以及將來會需要什麼。
這便是跳出框架後的狀況。跳出框架的特徵之一,就是選擇掌握在自己手上,無論這個選擇是否原本屬於他人。然而,弔詭的是跳出框架與否只能經由事後檢驗得知,換句話說,大多數已經出去的人,都是在回顧之後才發現,原來自己已經站到了一個完全不同(或原先未曾想像過)的地方。
會產生這種現象,主要是因為在這一套方法論之下,跳出框架是一個自然而然的趨勢而不是主動的行為。它是逐漸累積的、緩慢的、難以察覺的,經常是隨著環境慢慢的累積成果之後,才發現過程中各個時間點的成果在不知不覺中增加了干擾因素侵入的門檻,然後形成了一股已經具備指向性的力量。
推論上,在這個緩慢的過程中,多數累積不足卻主動嘗試往外跳的行為都極其危險。常見的是循環轉到一半時突然外衝,然而衝到漩渦的邊緣之後發現燃料耗盡,又被拉回來繼續旋轉,或者直接被吸入水面之下。以具體實例而言,例如跳過適用者需求的考量而直接開發產品,卻因為無法滿足客群需求而滯銷,進而形成財務壓力或倒閉。
此外,就算發現已經在框架之外,也需要有方法檢視與維持,避免不自覺地跑回漩渦,或者衝進另一個漩渦。當然,也要設法察覺是否身處在一個更大的漩渦之中,畢竟,如果累積了許久的努力之後,衝出了小的邊界卻直接撞進大漩渦的中心,這一點也不好玩!
因此,在接下來的篇章中,我們將著重描述(1) 圖八循環每一個階段中對應的工具表單、(2) 每一張工具表單的關連與意義,以及最重要的(3) 藉由每一次的專案紀錄及驗證其成果,成為下一個專案的養分,向後連動到下一圈循環的產生。
曾經我們將專案的確立、執行與控管比喻作在迷霧中抵達特定地點,而今天,我們在每一次尋找地點的過程中繪製迷霧森林的地圖。接下來,將會提供繪製地圖的工具,介紹循環中工具表單的基本構成,以及可以被延伸或是縮減的模組,最後則說明一些維持漂浮在框架之外的方法與檢視工具,這會是我們的下一個主題。
我們都曾經在迷霧森林中探索過,把一個又一個明確或是模糊的目的地當作終點,在林中摸索著環境的全貌。然而隨著時間一點一點地過去,卻發現它就像是一個在變動中演化的生態系,生生不息、永不休止。於是,我們試著跟隨自然地律動在一次又一次地旋轉跳躍中將地圖畫出,一方面試圖讓未來的旅程得以進退自如、不被拘束,另一方面則開始嘗試反過來影響森林本身,將它打造成一個適宜居住的地方。
我相信,這會是一種從單一目標演進到整體策略的過程。或許不確定性曾經讓前路迷茫,而今濃霧卻已然開始消散。
【參考資料】
- PDMA. Product Development and Management Association (1976).
- Crawford, C. M. New products management. (Tata McGraw-Hill Education, 2008).
- Cooper, R. G. Predevelopment activities determine new product success. Industrial Marketing Management 17, 237-247 (1988).
- Cooper, R. G. Stage-gate systems: a new tool for managing new products. Business horizons 33, 44-54 (1990).
- Cooper, R. G. Perspective: The Stage‐Gate® idea‐to‐launch process—Update, what's new, and NexGen systems. Journal of product innovation management 25, 213-232 (2008).
- Association, W. B. S. WBSA商務企劃八大程序 (2010).
- Vico, G., Bergin, T. G. & Fisch, M. H. Principi di una scienza nuova. (Cornell University Press, 1984).
- Collingwood, R. G. & Collingwood, R. G. The idea of history. (Oxford University Press on Demand, 1994).
- Osinga, F. P. Science, strategy and war: The strategic theory of John Boyd. (Routledge, 2007).
- Brehmer, B. in Proceedings of the 10th international command and control research technology symposium. 365-368.
- Metropolis, N. & Ulam, S. J. J. o. t. A. s. a. The monte carlo method. 44, 335-341 (1949).
- Rubinstein, R. Y. & Kroese, D. P. Simulation and the Monte Carlo method. Vol. 10 (John Wiley & Sons, 2016).
- Ouelhadj, D. & Petrovic, S. J. J. o. s. A survey of dynamic scheduling in manufacturing systems. 12, 417 (2009).
- Xiao, J., Osterweil, L. J., Wang, Q. & Li, M. J. D. o. C. S. a. t. U. o. M. A. Dynamic scheduling in systems with complex resource allocation requirements. 1-10 (2009).
- Kim, J. & Wilemon, D. Focusing the fuzzy front–end in new product development. R&D Management 32, 269-279 (2002).
- Nonaka, I., Umemoto, K. & Senoo, D. From information processing to knowledge creation: A paradigm shift in business management. Technology in society 18, 203-218 (1996).
猜你喜歡
過度承諾:通常來源於對「範圍」樂觀的預估,不自覺的產生認知膨脹,而無法抑制的結果。這種現象,時時刻刻發生在你我的身上,我們也都或多或少做過類似的行為,有些用自我約束的方式來控制這樣的現象,不致過度潛變(scope creep);有些則已面臨了失控的地步,就算投入了再多的資源或成本,也難以挽回最終還是失敗的命運。
縱然已經溝通建立共識、規劃形成專案,也必須面對執行過程中的變化,於是,面對未來的不確定成為了課題,如何面對變化,也就是面對未來的不確定性,成為了所有在規劃-執行-取得成果過程中最重要的議題。應對方式可以粗略分為質性及量性兩種,惟有兩者兼具才有希望取得最佳的結果,然而在規劃初期,或是目標訂定時,往往不具備足夠的量化資料,因此,一套有效的質性(並且兼容向下發展量化計算)架構變成為了必要,本篇引導出實際的質性方法面對變化。
在眾多品牌都存在的市場上,如何做出差異化的「品牌策略定位」,取決於品牌在市場上的「階梯法則」而定。
PowerAutomate自動化工作流 - 實體上課與視訊同步 - 請攜帶電腦
上課時間 2026/09/07 ~ 2026/09/07
生產管理法-交期、品質、成本、機台、備料、流程管控效益 - 第二梯
上課時間 2026/07/14 ~ 2026/07/14
企業應了解的外匯市場與風險控管實務_進階班 - 本課程為會計主管每年12小時持續專業進修認證課程
上課時間 2026/10/29 ~ 2026/10/29
急救人員安全衛生教育訓練班(日間班) - 台中班 - 線上報名優惠價$4050 - (中午供餐)
上課時間 2026/04/16 ~ 2026/04/17
防火管理人訓練複訓班 - (南科班)-
上課時間 2026/12/11 ~ 2026/12/11
標準作業與效率改善實務研習班
上課時間 2026/04/24 ~ 2026/04/24
中小製造業 AI 與流程自動化入門實務 - 需自備筆電
上課時間 2026/07/23 ~ 2026/07/23
時間管理與執行力提昇技巧研習班
上課時間 2026/05/20 ~ 2026/05/20
固定式起重機操作人員安全衛生在職教育訓練 - 回訓 - 夜間班
上課時間 2026/05/20 ~ 2026/05/20
應用數據分析,提升管理效能 - <分析力>
上課時間 2026/11/02 ~ 2026/11/02